পাঠান
পাঠান
মন্তব্য
লগ ইন
Search
Search
VisiblityHidden
Home
About College
College History
College Infrastructure
College Rules
Library
Vacant and Sanctioned Post
Citizen Charter
Administration
Principal
Vice Principal
Teachers
Faculty Of Arts
Faculty Of Social Science
Faculty Of Science
Faculty Of Business Stadies
Physical Education Department
ICT Department
Staff and Employee
PTA
Committee
Ex-Principals
Teacher's & Staff’s Information Statement
Institutional Activities
Class Activities
Yearly Activities
Curriculum
Courses
Ex-Exam Results
HSC Results
Degree Results
Honors Results
Documentary
Department
Faculty Of Arts
Bangla
English
History
Islamic History and Culture
Philosophy
Home Economics
Faculty Of Social Science
Economics
Political Science
Social Work
Faculty Of Science
Physics
Chemistry
Mathematics
Botany
Zoology
Faculty Of Business Studies
Physical Education
Information and Communication Technology
Co-curriculum Activities
BNCC
Rover Scout
Red Crescent
Science & ICT Club
Debating Club
Environment Club
Sports & Cultural Activities
College Result
Other
Rule Out
Dormitory
Downloads
Contact
Gallery
Citizen Charter
News:
২০১৮-২০১৯ শিক্ষাবর্ষে একাদশ শ্রেণির ভর্তি বিজ্ঞপ্তি
জনাব মোঃ রফিকুল ইসলম এর বিভাগীয় অনাপত্তি ফরম(এনওসি)
জনাব মো রফিকুল ইসলাম বিভাগীয় অনাপত্তি ফরম (এনওসি)
২০১৭-১৮ শিক্ষাবর্ষে একাদশ শ্রেণিতে ভর্তি কার্যক্রমের সময়সূচি ও অন্যান্য বিষয় প্রসঙ্গে।
জনাব এ, কে, এম রশিদুল হাসান এর বিভাগীয় অনাপত্তি ফরম(এনওসি)
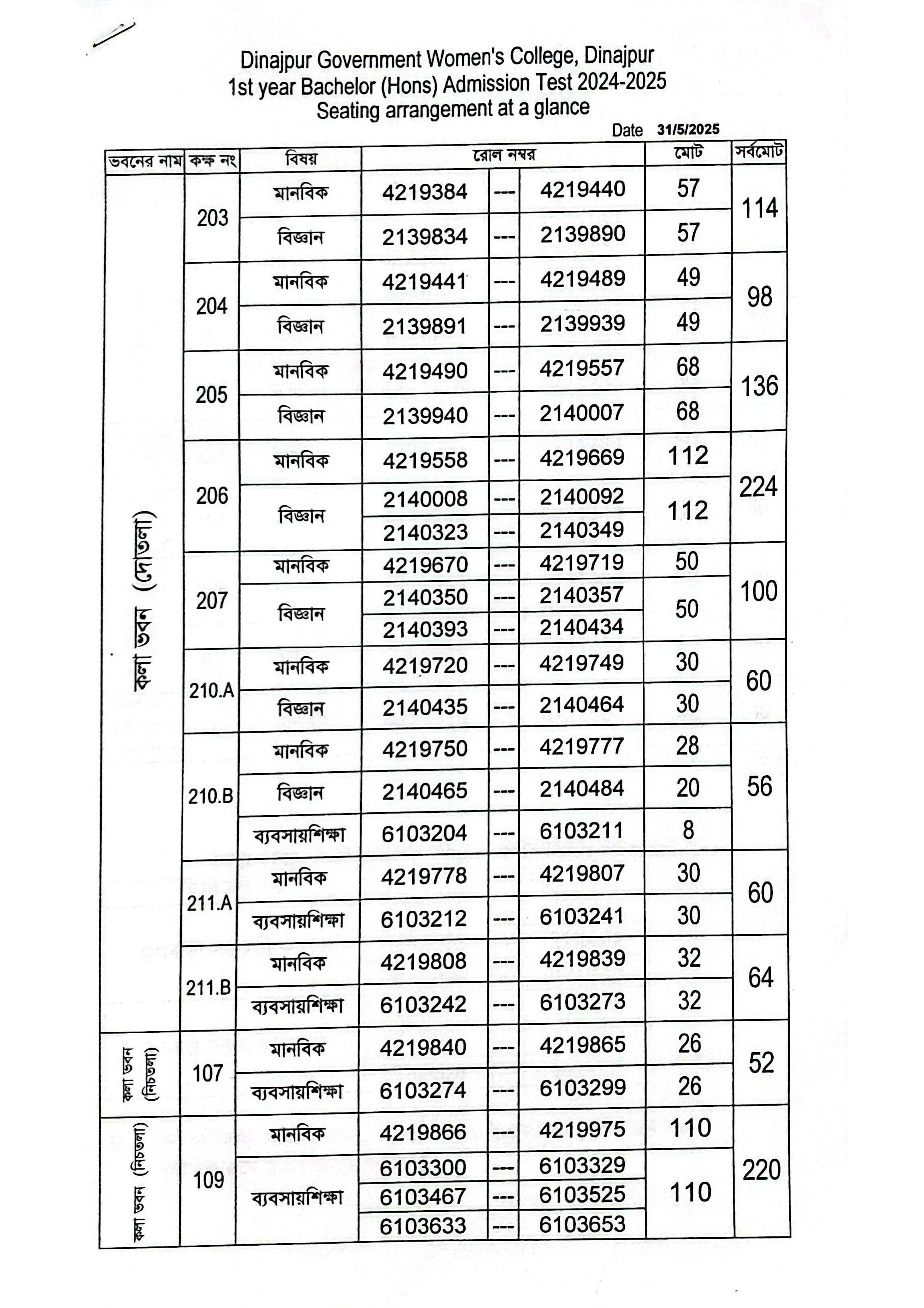
অনার্স ১ম বর্ষ ভর্তি পরীক্ষা ২০২৪-২০২৫ এর আসন বিন্যাস (copy)
নোটিশ বোর্ড
25 September
2025
সিটিজেন চার্টার (নাগরিক সনদ)
07 September
2025
২০২৪-২০২৫ শিক্ষাবর্ষের উচ্চ মাধ্যমিক দ্বাদশ শ্রেণির ব্যবহারিক...
01 September
2025
২০২৫-২০২৬ শিক্ষাবর্ষে উচ্চ মাধ্যমিক ভর্তি বিজ্ঞপ্তি
30 August
2025
উচ্চমাধ্যমিক দ্বিতীয় বর্ষে ভর্তির নোটিশ (২০২৪-২০২৫ শিক্ষাবর্ষ)
16 July
2025
আর্থিক জ্ঞান বিষয়ক শর্ট ভিডিও প্রতিযোগিতা
সবগুলো জানতে »
ক্লাস রুটিন
01 September
2018
একাদশ বিজ্ঞান
01 September
2018
একাদশ মানবিক
01 September
2018
একাদশ ব্যবসায় শিক্ষা
01 September
2018
দ্বাদশ বিজ্ঞান
01 September
2018
দ্বাদশ মানবিক
সবগুলো জানতে »
সিলেবাস
VisiblityHidden
পরীক্ষার রুটিন
02 January
2025
উচ্চমাধ্যমিক (2023-2024) নির্বাচনী পরীক্ষার সংশোধিত রুটিন পিডিএফ
02 January
2025
উচ্চমাধ্যমিক (2023-2024) নির্বাচনী পরীক্ষার সংশোধিত রুটিন
05 December
2024
উচ্চমাধ্যমিক 2024-2025 শিক্ষাবর্ষের প্রথম সাময়িক পরীক্ষার রুটিন।
05 December
2024
উচ্চমাধ্যমিক 2024-2025 শিক্ষাবর্ষের প্রথম সাময়িক পরীক্ষার রুটিন।
VisiblityHidden
ক্লাস রেজাল্ট
VisiblityHidden
বিগত বছরের একাডেমিক সাফল্য
VisiblityHidden
News
Events
14 May
2018
২০১৮-২০১৯ শিক্ষাবর্ষে একাদশ শ্রেণির ভর্তি বিজ্ঞপ্তি
10 November
2024
জনাব মোঃ রফিকুল ইসলম এর বিভাগীয় অনাপত্তি ফরম(এনওসি)
10 November
2024
জনাব মো রফিকুল ইসলাম বিভাগীয় অনাপত্তি ফরম (এনওসি)
11 July
2017
২০১৭-১৮ শিক্ষাবর্ষে একাদশ শ্রেণিতে ভর্তি কার্যক্রমের সময়সূচি ও...
17 May
2017
জনাব এ, কে, এম রশিদুল হাসান এর বিভাগীয় অনাপত্তি ফরম(এনওসি)
No events available
সবগুলো জানতে »
গুরুত্বপূর্ণ লিঙ্ক
জাতীয় শিক্ষা বোর্ড
শিক্ষা মন্ত্রনালয়
শিক্ষক বাতায়ন
ই-বুক
মাধ্যমিক ও উচ্চ শিক্ষা অধিদপ্তর
দিনাজপুর শিক্ষা বোর্ড অফিসিয়াল ওয়েবসাইট
মাল্টিমিডিয়া ক্লাসরুম ম্যানেজমেন্ট সিস্টেম
জাতীয় শিক্ষাক্রম ও পাঠ্যপুস্তক বোর্ড
জেলা প্রশাসকের কার্যালয়, দিনাজপুর।
বাংলাদেশ জাতীয় তথ্য বাতায়ন
Education Board Results
বিভাগীয় কমিশনারের কার্যালয়
eSIF
eFF
Directorate of Inspection and Audit
জাতীয় সংগীত
গুরুত্বপূর্ণ ডাউনলোড লিংক
VisiblityHidden
Dynamic Calendar
◀
Loading...
▶
0
0
2
8
2
0
9